Union Public Service Commission (UPSC) has declared Combined Defence Service Exam (CDS-II) which is conducted on 26 Oct, 2014 at various examination centres allotted by the UPSC. Candidates who were given examination can Download CDS-II Exam Reult 20s14-2015 from the official website link and they are nominated for SSB interview examination. A huge number of candidates were given examination and 8481 candidates passed in the written examination for being interviewed by the Service Selection Board, Ministry of Defence. Download Combined Defence Service (CDS-II) Result 2014-2015 from the link below and check their roll number & name in the result list.
Applicants can go through the official website www.upsc.gov.in to check their result and know more information about the latest and upcoming notification published on the authorized website of Union Public Service Commission. Candidates who passed in the examination and their roll number present in the result list called for SSB Interview. The candidates who passed in the SSB interview and medical fit will be finally selected as an officers post in Defence Department. 
The application form was filled in the month of month of july, 2014 for the Combined Defence Service Exam 2014 through the Union Public Service Commission. A huge number of candidates were given examination to become officers in Defence. The Combined Defence Services (CDS) is the national level entrance exam for the selection and admission of eligible applicants in the following main institutes of training for Defence Services in India- Indian Military Academy, Indian Naval Academy, Officers Training Academy and Air Force Academy respectively.
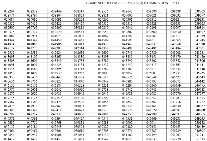
These are applicants roll number who qualified/passed in the written examination. Candidates can download full result list from the link mention below. 
Download CDS-II Result 26 Oct 2014 Exam from the link mention below. Applicants must check their result after download the result list from the link below. If candidates roll number present in the result list (pdf file) then they will be passed in the written examination. Candidates SSB Interview Call Letter will be uploaded soon so candidates check official website regularly time to time.
Download : UPSC CDS-II Exam Result 2014-2015 (PDF)
Download: CDS-II SSB Interview Call Letter 2015 (Available soon)
Official website: Applicants can go through the official website www.upsc.gov.in to download their exam result and also know more information about upcoming notification like SSB Interview Call Letter/CDS-II Final Result.

0 comments